0000-00
المقال منقول من "مواد العزل"

يعمل فيلم مكثف البولي بروبيلين ثنائي المحور (BOPP) كمادة عزل أساسية في المكثفات المعدنية الرقيقة، حيث تحدد الخصائص السطحية موثوقية وعمر المكثفات. كخطوة معالجة لاحقة حاسمة لأفلام BOPP، يحسن العلاج بالكورونا الأداء السطحي بشكل كبير، لكن آثاره الشاملة على بنية الفيلم والخصائص الكهربائية لا تزال غير واضحة. في دراستهم "تأثير العلاج بالكورونا على بنية وأداء أفلام مكثف البولي بروبيلين ثنائي المحور"، المنشورة في العدد العاشر من عام 2025 من *مواد العزل*، أجرى وانغ جينتشينغ وزملاؤه من شركة تشيوانتشو جيادلي للإلكترونيات تجارب منهجية لتوضيح آليات تأثير شدة العلاج بالكورونا على البنية الفيزيائية، البنية الكيميائية، الطاقة السطحية، والخصائص الكهربائية لأفلام مكثف BOPP.
خلفية البحث والأهداف
تُستخدم أفلام مكثف BOPP على نطاق واسع في مركبات الطاقة الجديدة والشبكات الذكية بسبب قوتها الكهربائية العالية (>500 فولت/ميكرومتر) وخصائصها الذاتية للشفاء الممتازة. ومع ذلك، تؤدي السلاسل الجزيئية غير القطبية للبولي بروبيلين إلى انخفاض الطاقة السطحية وضعف التصاق الطلاءات المعدنية. العلاج بالكورونا، الذي يقدم مجموعات قطبية على سطح الفيلم عبر قصف البلازما، هو تقنية شائعة لتعزيز الطاقة السطحية. تحلل هذه الدراسة بشكل منهجي تأثيرات شدة العلاج بالكورونا (0 واط، 15 واط، 30 واط دقيقة/م²) على البنية المجهرية والخصائص الكلية لأفلام مكثف BOPP، مما يوفر أساسًا لتحسين عمليات أفلام المكثفات عالية الأداء.

الشكل 1 رسم تخطيطي لعملية علاج الفيلم بالكورونا
تصميم التجربة والطرق
تدرس هذه البحث تحضير أفلام BOPP فائقة الرقة بسمك 2.4 ميكرومتر على خطوط إنتاج ثنائية المحور الصناعية، مع ثبات معلمات عملية التمدد وتعديل شدة الكورونا فقط:
تجميع العينات: 0 واط (بدون كورونا)، 15 واط، 30 واط علاج بالكورونا.
التمثيل:
▪البنية البلورية:تم استخدام المسح الحراري التفاضلي (DSC) لتحليل منحنى الانصهار ودرجة التبلور.
▪المورفولوجيا السطحية:تم قياس خشونة السطح (Ra, Rz, Sz) بواسطة مقياس الملامح البصرية ثلاثي الأبعاد.
▪البنية الكيميائية: تم استخدام مطيافية الأشعة تحت الحمراء بتحويل فورييه (FTIR) للكشف عن المجموعات القطبية.
▪اختبار الأداء: توتر التبلل السطحي، الخصائص الميكانيكية، الطيف العازل، القوة الكهربائية للتيار المستمر (ملاءمة توزيع ويبل).

آلة تشكيل الدعامة المفردة


يستخدم هذا الجهاز لحواف دعامات المحولات. يمكنه معالجة أشكال T، ذيل الحمامة، ذيل السنونو، المستطيلة، ومجموعات أخرى من الأشكال لتشكيل دعامات.
تأثير العلاج بالكورونا على بنية الفيلم
1. البنية الفيزيائية:تغيير المورفولوجيا السطحية، بنية بلورية مستقرة
(1) اتساق البنية البلورية:تظهر نتائج DSC أن درجة التبلور للأفلام الثلاثة حوالي 52%، وموقع ذروة الانصهار (Tm1≈170.6°C، Tm2≈167.5°C) لم يتغير بشكل كبير، مما يشير إلى أن العلاج بالكورونا لا يغير البنية البلورية للأفلام.
(2) انخفاض خشونة السطح: يسبب العلاج بالكورونا قصفًا فيزيائيًا على سطح الفيلم الذي يستقبل الكورونا (سطح CR)، مما يؤدي إلى انخفاض ارتفاع البنية المجهرية السطحية. على سبيل المثال، انخفض ارتفاع النقاط العشر (Sz) لفيلم معالج بـ30 واط كورونا من 860.8 نانومتر عند 0 واط إلى 709.6 نانومتر (انخفاض بنسبة 17.6%)، بينما انخفض متوسط الارتفاع الحسابي (Rz) بنسبة 11.4%. في المقابل، لم تتغير خشونة سطح سكين الهواء (سطح AK) بشكل كبير، مما يبرز التأثير الموضعي للعلاج بالكورونا.

الشكل 2 منحنيات انصهار DSC لأفلام بدرجات مختلفة من شدة الكورونا
2. البنية الكيميائية: إدخال مجموعات قطبية، مما يؤدي إلى زيادة الطاقة السطحية
كشفت أطياف FTIR أن العلاج بالكورونا ولّد روابط قطبية متعددة على سطح الفيلم.
(1) قمم مميزة: تظهر قمة تمدد رابطة C-O عند 1000~1300 سم⁻¹، وقمة كربونيل (C=O) عند 1600~1800 سم⁻¹، وقمة هيدروكسيل (-OH) عند 3200~3600 سم⁻¹، وقمة صغيرة لمجموعة إيبوكسي عند 940 سم⁻¹.
(2) ارتباط الشدة: تؤدي زيادة شدة تفريغ الكورونا إلى زيادة مساحة القمة القطبية، مما يشير إلى أن شدة الكورونا الأعلى يمكن أن تقدم مجموعات قطبية أكثر برابطة عالية الطاقة، وتحسن بشكل أساسي النشاط الكيميائي لسطح الفيلم.

الشكل 3 أطياف FTIR لأفلام بدرجات مختلفة من شدة الكورونا
تأثير العلاج بالكورونا على خصائص الفيلم
1. توتر التبلل السطحي وأداء العملية
(1) تحسن كبير في توتر التبلل:من خلال اختبارات القطيرات، كان توتر التبلل لأفلام 0 واط، 15 واط، و30 واط <30 مللي نيوتن/متر، <36 مللي نيوتن/متر، و<42 مللي نيوتن/متر على التوالي. سهل العلاج بالكورونا انتشار القطيرات، مما يظهر زيادة في الطاقة السطحية.
(2) تحسن كفاءة اللف: تظهر الأفلام غير المعالجة بالكورونا طاقة سطحية منخفضة، مما يؤدي إلى انزلاق سهل أو حتى تلف أثناء اللف. في المقابل، تظهر الأفلام المعالجة بالكورونا التصاقًا محسنًا، مما يؤدي إلى لف أكثر إحكامًا ويضمن سلامة الإنتاج.

الشكل 4 اختبار مقارنة لتوتر التبلل السطحي لأفلام بدرجات مختلفة من شدة الكورونا
(3) الخصائص الميكانيكية مستقرة:لا يؤثر العلاج بالكورونا بشكل واضح على قوة الشد، الاستطالة ومعامل الفيلم، مما يشير إلى أن التعديل يقتصر على الطبقة السطحية.

الشكل 5 الخصائص الميكانيكية لأفلام بدرجات مختلفة من شدة الكورونا
2. الخصائص العازلة: تأخر التوهين عند درجات الحرارة العالية
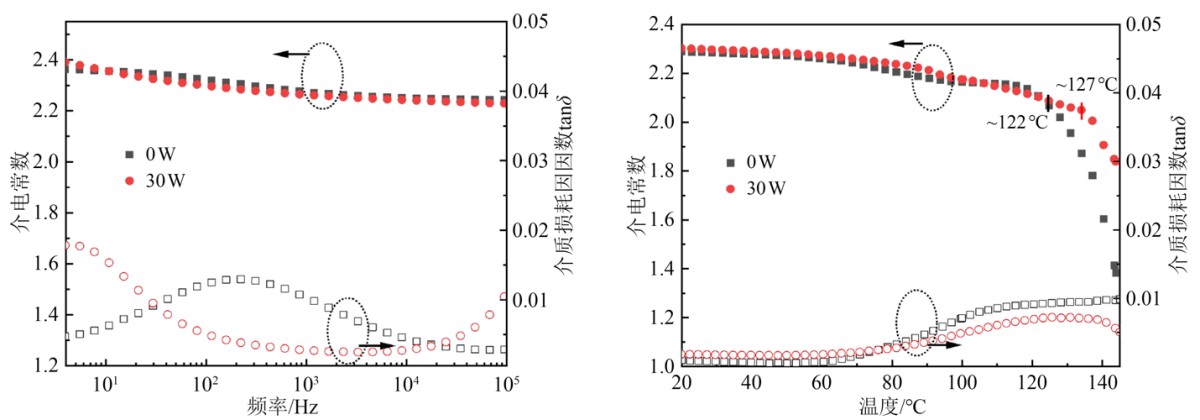
ثابت العزل لفيلم 30 واط كورونا مستقر عند 2.2~2.4 في درجة حرارة الغرفة. يتوهن ثابت العزل لفيلم 30 واط كورونا ببطء أكبر عند 120°C وأعلى، وتتغير قمة فقد العزل مع تأخر، مما يشير إلى أن المجموعات القطبية تحسن استقرار العزل لفيلم 30 واط كورونا في درجات الحرارة العالية.

الشكل 6 (أ) أطياف العزل المعتمدة على التردد و(ب) أطياف العزل المعتمدة على درجة الحرارة لأفلام غير معالجة بالكورونا ومعالجة بـ30 واط كورونا في درجة حرارة الغرفة
(1) تباين ضئيل في القوة الكهربائية في درجة حرارة الغرفة: تذبذب معلمة توزيع ويبل α (القوة الكهربائية المميزة) للأفلام الثلاثة ضمن ±5 فولت/ميكرومتر.
(2) تحسن ضعيف في أداء درجات الحرارة العالية: عند 100°C، تكون القوة الكهربائية لفيلم 30 واط كورونا أعلى بحوالي 17 فولت/ميكرومتر من الفيلم غير المعالج، ويعزى ذلك إلى الفخاخ العميقة المستحثة بالمجموعات القطبية لاحتجاز الشحنات.
(3) انخفاض الاستقرار: قلل العلاج بالكورونا معلمة ويبل β (التشتت) من 7.96 (0 واط) إلى 4.43 (30 واط)، مما يشير إلى توزيع أكثر تشتتًا للقوة الكهربائية. يشير التحليل إلى أن عددًا قليلاً من الفخاخ القوية يؤدي إلى توزيع غير متساوٍ للمجال الكهربائي، مما يسبب تشوه المجال.

الشكل 7 ملاءمة توزيع ويبل للقوة الكهربائية: (أ) في درجة حرارة الغرفة، (ب) عند 100°C
استنتاج البحث والأهمية الهندسية
(1) تأثيرات البنية: لا يغير العلاج بالكورونا البنية البلورية ولكنه يقلل الارتفاع الفيزيائي لسطح الكورونا؛ يعدل البنية الكيميائية بشكل كبير عن طريق إدخال روابط قطبية مثل C-O وC=O.
(2) توازن الأداء:
▪مزايا:يعزز توتر التبلل (ضمان التصاق المعدنة وسلامة اللف)، ويؤخر توهين العزل عند درجات الحرارة العالية.
▪المخاطرة: يزيد تشتت القوة الكهربائية، مما يؤثر على الاستقرار طويل الأمد.
(3) توصيات العملية: يجب تحسين شدة الكورونا لتحقيق التوازن بين تحسين الطاقة السطحية والاستقرار الكهربائي، وتجنب الإفراط في العلاج.
توفر هذه الدراسة دعمًا حاسمًا للبيانات لتحسين أداء أفلام مكثف BOPP، مما يمهد الطريق لاستكشاف التأثيرات التآزرية بين العلاج بالكورونا وتقنيات التعديل الأخرى في المستقبل.
شركة قاومي هونغ شيانغ للتقنية الكهروميكانيكية المحدودة هي شركة خاصة متخصصة في خدمة العملاء عالميًا. توفر الشركة ثلاث خطوط إنتاج أساسية: تصنيع تجميع محولات الطاقة، لوح الورق العازل الكهربائي، الخشب الرقائقي العازل، ومعالجة مكونات العزل، إلى جانب خدمات تشكيل EVA. كما تدعم تصنيع آلات متخصصة مدعومة بالذكاء الاصطناعي. كمزود شامل، تدمج الشركة التصميم والتطوير، الإنتاج، المبيعات، التركيب، التدريب، وخدمات ما بعد البيع. تُباع منتجاتها على نطاق واسع محليًا وتُصدر إلى جنوب شرق آسيا، أمريكا الجنوبية، الهند، باكستان، روسيا، ومناطق أخرى.

التنقل
رسالة
طلب عرض أسعار؟