0000-00
مختار من "المواد العازلة"

خلفية البحث والابتكارات
أدى التطور السريع لصناعة مركبات الطاقة الجديدة إلى فرض متطلبات أعلى للمواد العازلة في محركات القيادة، مما يتطلب أداءً مستقرًا في ظل ظروف درجات الحرارة العالية والأحمال الثقيلة. يُستخدم بولي إيميد (PI)، المعترف به كأفضل مادة طلاء عازلة مقاومة للحرارة، على نطاق واسع نظرًا لخصائصه الممتازة. ومع ذلك، لا يزال محلول حمض البولي أميد السلف في طلاءات PI العازلة التقليدية يُظهر لزوجة عالية عند محتوى صلب منخفض، مما يعيق عملية الطلاء المتعدد الطبقات الموحد. اقترح فريقنا بشكل مبتكر استراتيجية وسيطة "كامنة": تحضير عامل معالجة نهائي من أملاح الكربوكسيل والأمين من خلال تفاعل التعادل بين حمض البوتيريك والأمينات العطرية، والذي يتم إدخاله بعد ذلك في أوليغومر PMDA-ODA المنتهي بالأنهيدريد. أثناء المعالجة الحرارية العالية، يتحلل الوسيط لإطلاق مجموعات الأمين، التي تستمر في التفاعل لتشكيل PI عالي الوزن الجزيئي، مما يوازن بين معالجة اللزوجة المنخفضة ومتطلبات فيلم الطلاء عالي الأداء.

الشكل 1 رسم تخطيطي لمسار تحضير طلاء PI العازل
المنهجية الأساسية: التصميم الجزيئي وعملية التحضير
من خلال ضبط نسب المونومرات (ODA، APAB، BA، PMDA)، تم تصنيع سلسلة من طلاءات PI (مثل PI-P-0 إلى PI-P-4). أدى دمج وسيط "كامن" إلى تقليل لزوجة محلول الطلاء بشكل كبير - عندما كان محتوى BA 5٪، انخفضت اللزوجة من 1712 mPa·s إلى 835 mPa·s (عند 20°C)، مما يعزز كفاءة الطلاء.
تحلل الوسيط عند 180~200°C وتشكل PI عند 300°C. كانت الاستقرار الحراري لـ PI مشابهًا لـ PI التقليدي.

الشكل 2 العلاقة بين اللزوجة الظاهرية لطلاء PI العازل ومحتوى BA

تعتبر مقصات هونغ شيانغ الميكانيكية معدات أساسية لتعزيز كفاءة وجودة معالجة المواد الكهربائية. فهي تمكن من القطع الدقيق والفعال للمواد لتلبية متطلبات صناعة الكهرباء فيما يتعلق بدقة الأبعاد وأداء السلامة. تكون حواف القطع ناعمة وخالية من الحواف الخشنة، مما يضمن خصائص العزل للمعدات الكهربائية. يتم إنجاز القطع الدفعي بسرعة، مما يحسن بشكل كبير كفاءة الإنتاج.
اختراق في الأداء: التحسين الشامل للخصائص الحرارية والميكانيكية والكهربائية
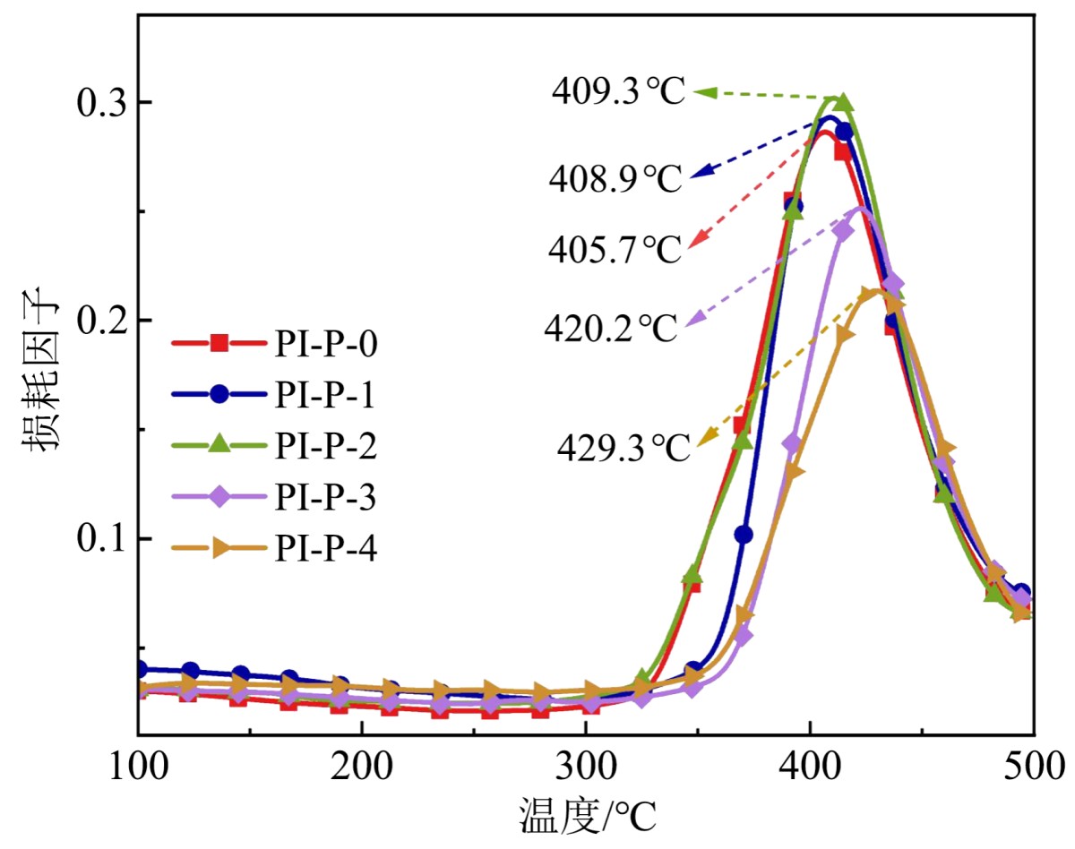
1.تحسن كبير في مقاومة الحرارة
من خلال دمج المونومر الصلب APAB وزيادة درجة حرارة المعالجة الحرارية، تجاوزت درجة حرارة التحول الزجاجي (Tg) للفيلم 420°C. كشف التحليل الميكانيكي التفاضلي (DMA) أنه عند محتوى APAB بنسبة 40٪، وصلت Tg إلى 429.3°C. بعد المعالجة الحرارية عند 450°C، زادت Tg لـ PI-P-1 إلى 430.3°C، مما يمثل تحسنًا بنسبة 5.23٪ مقارنة بالمعالجة عند 350°C. أشار تحليل XPS إلى أن درجات الحرارة العالية عززت التشابك بين السلاسل الجزيئية، مما يعزز الاستقرار الحراري.

(أ) التكرار عند 350°C

(ب) التكرار عند 450°C
الشكل 3 منحنيات DMA لفيلم PI المقاوم للحرارة العالية المحضر عند درجات حرارة مختلفة
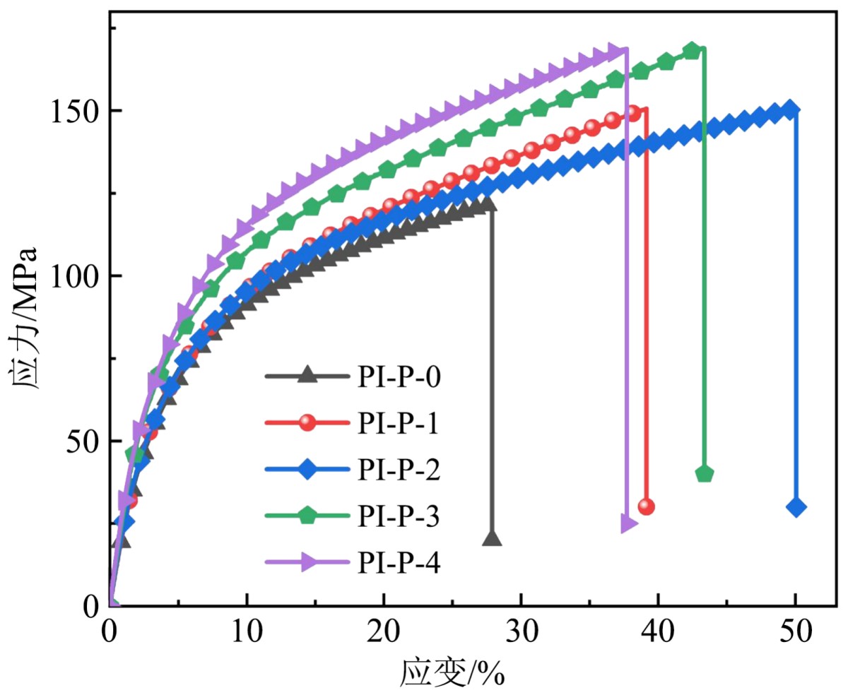
2.خصائص ميكانيكية ممتازة:
يتراوح قوة الشد للفيلم من 147.3 إلى 168.5 ميجا باسكال، مع معامل مرونة يتراوح بين 2.5 إلى 3.1 جيجا باسكال. يؤدي إدخال APAB إلى تعزيز صلابة السلسلة الجزيئية وتعزيز التعبئة المضغوطة؛ ومع ذلك، فإن APAB الزائد (>30٪) يقلل من الاستطالة عند الكسر. يحافظ PI-P-1 على القوة العالية مع استطالة عند الكسر تبلغ حوالي 50٪، مما يوازن بين المتانة والصلابة.

(أ) قوة الشد ومعامل المرونة

(ب) منحنى الإجهاد-الانفعال
الشكل 4 نتائج اختبار الخصائص الميكانيكية لطلاء PI المقاوم للحرارة العالية
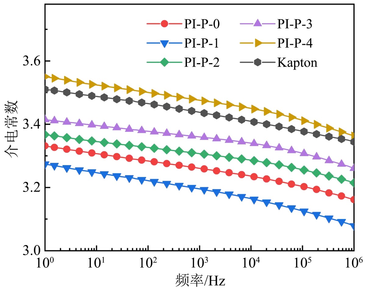
3.تظهر الخصائص الكهربائية أداءً مستقرًا وموثوقًا به:
في درجة حرارة الغرفة، يكون ثابت العزل الكهربائي أقل من 3.48 (1 كيلو هرتز)، مع عامل فقدان عازل أقل من 0.019. أثناء اختبارات تغير درجة الحرارة، يُظهر فيلم PI-P-1 أفضل استقرار لعزل درجة الحرارة عند 450°C، مع قمع ظواهر الاسترخاء الثانوية. تتراوح القوة الكهربائية بين 304.3 إلى 356.5 كيلو فولت/مم، حيث حقق PI-P-2 أعلى قيمة (356.5 كيلو فولت/مم)، وذلك بسبب زيادة كثافة تكدس السلسلة الجزيئية.

(أ) ثابت العزل الكهربائي

(ب) عامل فقدان العزل الكهربائي

(ج) منحنى العزل الكهربائي المعتمد على درجة الحرارة

(د) القوة الكهربائية
الشكل 5 نتائج اختبار الأداء الكهربائي لطلاء PI المقاوم للحرارة العالية
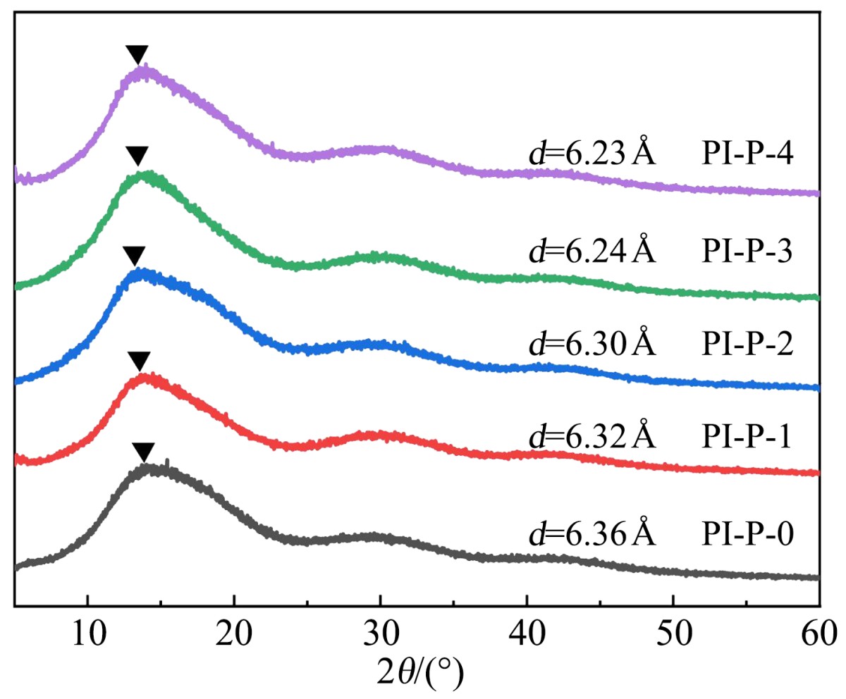
يكشف المحاكاة الجزيئية عن الآلية
تُظهر محاكاة Materials Studio أن APAB يقلل من حركية السلسلة الجزيئية (انخفاض معامل الانتشار)، بينما يؤكد XRD تقليل المسافات بين السلاسل الجزيئية وتكدس أكثر إحكامًا. هذا يفسر تعزيز مقاومة الحرارة واستقرار العزل الكهربائي لفيلم الطلاء.

(أ) منحنى MSD

(ب) نتائج XRD
الشكل 6 متوسط الانحراف التربيعي لنماذج هيكل PI المختلفة ونتائج XRD
الاستنتاج
نجحت هذه الدراسة في معالجة تحدي اللزوجة العالية لطلاء PI العازل من خلال استراتيجية وسيطة "كامنة"، مع تحقيق تحسين متزامن للخصائص الحرارية والميكانيكية والكهربائية في فيلم الطلاء. أظهرت التركيبة المثلى PI-P-1 (محتوى APAB 10٪) أداءً شاملًا متميزًا: Tg> 420°C، قوة شد 147.3 ميجا باسكال، ثابت عزل كهربائي <3.48، وقابلية معالجة ممتازة. يوفر هذا الإنجاز خيارًا جديدًا للمواد لنظام العزل لمحركات مركبات الطاقة الجديدة، والذي من المتوقع أن يدفع تطور المحركات عالية الأداء.
يمكن للعمل المستقبلي أن يحسن نسب المونومرات بشكل أكبر واستكشاف عمليات الإنتاج على نطاق صناعي لتسهيل التحديثات التكنولوجية في مواد العزل.
شركة قاومي هونغ شيانغ للتكنولوجيا الكهروميكانيكية المحدودة هي شركة خاصة متخصصة في خدمة العملاء العالميين. توفر الشركة ثلاث خطوط إنتاج أساسية: تصنيع تجميعات محولات الطاقة، لوحات الورق العازل الكهربائي، الخشب الرقائقي العازل، ومعالجة مكونات العزل، مدعومة بآلات متخصصة مدعومة بالذكاء الاصطناعي. كمزود شامل، فإنه يدمج التصميم والتطوير، والإنتاج، والمبيعات، والتركيب، والتدريب، وخدمات ما بعد البيع. تُباع منتجاتها على نطاق واسع محليًا وتصدر إلى جنوب شرق آسيا، وأمريكا الجنوبية، والهند، وباكستان، وروسيا، ومناطق أخرى.

التنقل
رسالة
طلب عرض أسعار؟